3.2 Inhibidores Quinoxálicos
3.2 Inhibidores Quinoxálicos
Los derivados 9 y 10 fueron identificados por Barnett y col. (27) como inhibidores de Akt tras el ensayo HTRF (high time resolved fluorescence) de una base de datos de aproximadamente 270.000 productos. El producto 9 mostró buena actividad para Akt1 (IC50 = 4.6 µM) mientras que para Akt2 resultó ser inactivo. El derivado 10 por su parte mostró ser un inhibidor dual de las isoformas 1 y 2 de Akt con valores de IC50 = 2,7 µM para Akt1 y 21 µM para Akt2. Tanto 9 como 10 no mostraron actividad inhibitoria frente a Akt3 ni con las demás quinasas AGC, como tampoco fueron activos para proteínas mutantes de Akt que carecen del dominio PH.
Estos productos son inhibidores alostéricos reversibles que afectan la actividad quinasa de Akt1 bloqueando su fosforilación y activación por parte de PDK1 tanto en ensayos “in vitro” como en células. El sitio de unión de estos inhibidores se encuentra situado entre el dominio PH y el resto de la proteína (zona "bisagra").
-11.jpg)
Figura 10. - Estructura química de inhibidores de Akt1 y Akt2 descubiertos como resultado del análisis HTRF realizado por Barnett y col. (30).
La interacción produce un cambio de conformación sobre Akt1 que impide su fosforilación y consiguiente activación.
Se ha determinado también que estos derivados inducen apoptosis en la línea celular de cáncer de próstata LNCap, caracterizada por expresar sólo las isoformas 1 y 2 de Akt (28).
El producto 2,3-difenilquinoxalinico 10 (Figuras 10 y 11), se estableció como cabeza de serie para la síntesis de nuevos sustratos con actividad optimizada (29). La primera estrategia de modificación fue eliminar los metilos geminales e incluir distintos sustitutos sobre el grupo amino (NH2) de la estructura. Tras la síntesis y evaluación de alrededor de 200 productos, el producto 11 (Figura 11) exhibió la mejor actividad de la seri e en la inh ibi ción de A kt1 y Akt2 c on valores de IC50 de 290 nM y 2090 nM, respectivamente. En su estructura, el producto 11 posee un grupo piperidina sustituido en la posición 4 por la unidad 1,3-dihidrobenzodiimidazol-2-ona, que le concede una notable mejoría en la actividad haciéndolo diez veces mas potente que el compuesto líder 10 tanto para Akt1 como para Akt2.
-12.jpg)
Figura 11.- Estructura química del cabeza de serie 10 y su derivado 11.
A pesar de la buena actividad mostrada por 11, éste posee una baja solubilidad y mostró poca actividad en células. El siguiente paso en la optimización de la actividad y de las propiedades físicas de estos productos fue la incorporación de grupos polares y heterociclos nitrogenados sobre el anillo quinoxálico.
Los compuestos 12-15 (Figura 12), corresponden a los sustratos que mostraron las mejores actividades de una serie diseñada con el objetivo de optimizar las propiedades de 11.
-13.jpg)
Figura 12.- Estructura química de inhibidores de actividad optimizada que incluyen sustituyentes heterocíclicos nitrogenados sobre el anillo quinoxálico.
Los productos 12 y 13 incorporan sobre las posiciones 6 y 7 del anillo quinoxálico un grupo tetrazol. Estos mostraron ser unos potentes inhibidores duales Akt1 / Akt2, con excelentes valores de IC50. Sin embargo, al igual que el producto 11, no mostraron actividad inhibitoria en células, presumiblemente debido al carácter zwitteriónico que afecta sus propiedades de permeabilidad de membrana. La N-alquilación de la unidad de tetrazol presente en los productos 12 y 13 elimina el carácter zwitteriónico. No obstante, esta modificación conduce a una pérdida notable de solubilidad para ambos productos y de actividad para el producto 12, mientras que el producto 14 (derivado de 13, Figura 12) mantiene una buena actividad inhibitoria.
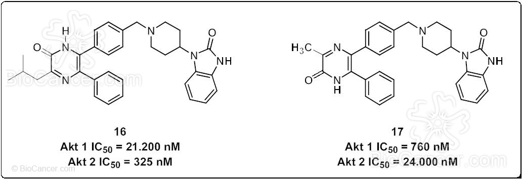
Al mismo tiempo que sintetizaban librerías de productos con esqueletos quinoxálicos, los autores desarrollaron librerías de productos análogos donde la unidad de quinoxalina fue reemplazada por el heterociclo 5,6-difenilpiracin-2(1H)-onas. De esta clase de inhibidores se destacan los productos 16 y 17 (Figura 13), que mostraron las mejores actividades de la serie. El derivado 16 mostró una sorprendente selectividad hacia Akt2, con una actividad 650 veces mayor que la mostrada para Akt1.
-14.jpg)
Figura 13.- Estructura química de los inhibidores 16 y 17 que reemplazan la unidad quinoxálica por anillos piracinónicos.
Estos derivados de pirazononas son inhibidores selectivos para Akt frente a las demás quinasas AGC, no son competitivos con la molécula de ATP y necesitan del dominio PH para ejercer su actividad.
Los productos 11-17 corresponden a los inhibidores más activos de sus respectivas series, aunque sin embargo, a pesar de la excelente actividad mostrada en los ensayos directos con Akt1 y Akt2, su actividad en células no es buena debido a su baja solubilidad en medios fisiológicos. La optimización de los derivados quinoxálicos continúa con modificaciones sobre el anillo central (30). Los productos 18 y 19 (Figura 14) son análogos de 11 en los cuales se ha suprimido uno de los nitrógenos del anillo quinoxálico. Visto de otra forma, el anillo de quinoxalina ha sido reemplazado por un anillo de quinolina. El átomo de nitrógeno presente en la quinolina es más básico que los del anillo quinoxálico y es de esperar que los derivados activos quinolínicos muestren mejores propiedades de solubilidad y por consiguiente, mejores actividades en células.
-15.jpg)
Figura 14.- Estructura química de los inhibidores 18 y 19 que reemplazan la unidad quinoxálica por anillos quinolínicos.
La amplia diferencia entre las actividades de los regioisómeros 18 y 19 (Figura 14) para ambas isoformas de Akt, establecen la clara importancia de la posición del nitrógeno en el anillo para la actividad inhibitoria. El derivado 19, que posee el átomo de nitrógeno sobre la posición 1 del anillo, resultó ser nueve veces más activo que su isómero 18. Sin embargo, la actividad inhibitoria de 19 es levemente menor que la de su homólogo quinoxálico 11.
Una nueva estrategia de optimización es la simplificación de la unidad quinolínica por otra cianopiridínica. Esta modificación permite disminuir el peso molecular del sustrato como también incluye un grupo funcional que permite realizar diversas funciones.
-16.jpg)
Figura 15.- Estructura química de derivados cianopiridínicos.
Los productos cianopiridínicos 20 y 21 no mostraron mejor actividad que sus homólogos quinolínicos y quinoxálicos. A su vez, la inclusión de un anillo de tetrazol sobre la unidad de piridina (productos 22 y 23, Figura 15) potencia notablemente la actividad de los sustratos, de igual manera que en el caso de los derivados quinoxálicos 12 y 13 (Figura 12).
La solubilidad en agua a pH 4,5 de los productos 20, 21, 22 y 23 fue considerablemente superior a la de los demás derivados descritos. Los derivados cianopiridínicos 20 y 21 fueron permeables en la membrana celular, no obstante, los tetrazolil derivados 22 y 23 no fueron permeables.
Esta clase de sustratos son inhibidores alostéricos de Akt que necesitan de la presencia del dominio PH para ejercer su actividad. No son inhibidores competitivos con la molécula de ATP y son altamente selectivos hacia las isoformas Akt1 y Akt2, no mostrando actividad hacia Akt3, PKA, PKC, SGK y Akts mutantes que carecen del dominio PH.